W artykule przedstawiono wartość błędu luksomierza f1 informującego o wpływie zmiany źródła mierzonego (LED) na inne niż kalibracyjne. Pokazano, iż wartość tego błędu dla luksomierzy firmy SONEL S.A. odpowiednio dla klasy A i B nie będzie miała znacznego wpływu na poprawność pomiaru natężenia oświetlenia źródeł światła LED.
1. Wprowadzenie
W niedostatecznych warunkach lub w przypadku całkowitego braku oświetlenia naturalnego zachodzi konieczność zastosowania oświetlenia sztucznego. W związku z tym pojawia się potrzeba kontroli parametrów natężenia oświetlenia za pomocą luksomierza. Konieczność przeprowadzania tego rodzaju pomiarów nie wynika jedynie z potrzeb producentów czy projektantów oświetlenia, ale jest efektem wynikłym z regulacji prawnych. Rozporządzenie Ministra Pracy i Polityki Socjalnej w sprawie ogólnych przepisów bezpieczeństwa i higieny pracy [1] zobowiązuje pracodawców do przeprowadzania pomiarów i oceny parametrów jakości oświetlenia w środowisku pracy. W związku z tym pracodawca ma obowiązek zapewnić oświetlenie elektryczne w miejscu pracy zgodne z wymaganiami Polskich Norm [2].
Podstawową wielkością podlegającą ocenie jest natężenie oświetlenia elektrycznego, którego pomiary wykonuje się za pomocą luksomierza, wywzorcowanego w luksach. Zaleca się, aby luksomierz został wywzorcowany w akredytowanym laboratorium, o potwierdzonej jakości przez Polskie Centrum Akredytacji, w którym kalibracja luksomierza jest zgodna z wymaganiami ISO/IEC 17025:2005 [3]. Gwarancją prawidłowości wskazań luksomierza jest jego świadectwo wzorcowania wraz z podaną niepewnością pomiarów. Ponadto luksomierze muszą odpowiadać wymaganiom zawartym w: publikacji CIE 69-1987 [4], PN 83/E-04040 [5], PN 84/E-02033 [6], PN 90/E-01005 [7]. Do wzorcowania luksomierzy używa się wzorców światłości w postaci lamp żarowych o temperaturze barwowej Tc=2856 K.
Do najważniejszych czynników, jakie stawia się luksomierzom należy skorygowanie głowicy fotometrycznej luksomierza pod względem widmowym i przestrzennym. Powinien on mieć czułość widmową taką jak standardowy obserwator kolorymetryczny o czułości względnej oka V(λ), a wartość sygnału wyjściowego z miernika powinna się zmieniać z funkcją kosinusa kąta padania promieniowania na jego płaszczyznę pomiarową. Częścią składową głowicy pomiarowej jest detektor fotoelektryczny – krzemowy (luksomierze firmy SONEL S.A.). Czułość widmowa tych detektorów odbiega od wymaganej czułości widmowej luksomierza, opracowanej przez Międzynarodową Komisję Oświetleniową (CIE). Dlatego stosuje się filtry korekcyjne w postaci elementu rozpraszającego, które zapewniają zgodność jego wskazań z kosinusem kąta padania światła.
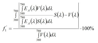
Jednymi z najistotniejszych parametrów charakteryzujących luksomierze są wartości błędu korekcji widmowej f1’ oraz błędu f1 wynikającego z różnic w rozkładzie widmowym źródła mierzonego i kalibracyjnego. Wartość parametru f1’, będącego miarą niedopasowania czułości luksomierza do krzywej V(λ), określonego przez CIE wyrażony jest:

gdzie: EA(λ) – względny rozkład widmowy mocy promieniowania, przy którym wykonano wzorcowanie głowicy fotometrycznej, V(λ) – wymagana względna czułość widmowa głowicy fotometrycznej, S(λ) – względna rzeczywista czułość widmowa głowicy fotometrycznej.
Ze względu na dokładność luksomierze dzieli się na cztery klasy. Najwyższa dokładność (klasa L) o błędzie f1’ nieprzekraczającym 1,5% to luksomierze laboratoryjne. Dla f1’ zawierających się w przedziale (1,5%, 3%> to luksomierze klasy A, o bardzo dobrej jakości (Sonel LXP-10A). Luksomierze średniej jakości, dla których f1’=(3%, 6%> to klasa B (Sonel LXP-10B, LXP-2). Natomiast za luksomierze o niskiej jakości uważa się luksomierze dla których f1’ jest większe od 6%, ale nie przekracza 9% (klasa C).
2. Pomiary natężenia oświetlenia źródeł światła LED
Obecnie w związku z dynamicznym rozwojem techniki oświetleniowej żarowe źródła światła, ze względu na niską skuteczność świetlną, zostały zastąpione przez bardziej wydajne diody LED. Podstawą ich działania jest zjawisko elektroluminescencji w ciele stałym. Elektroluminescencja to sposób emisji promieniowania, w którym źródłem pobudzającym do świecenia jest prąd lub pole elektryczne. Do podstawowych zalet diod elektroluminescencyjnych należy zaliczyć: mały pobór prądu, mała wartość napięcia zasilającego, duża sprawność, małe rozmiary, duża trwałość, a także duża wartość luminancji. Ze względu na inny mechanizm wytwarzania światła diod LED pojawiły się wątpliwości w wykonywaniu pomiarów jego natężenia, za pomocą różnych typów luksomierzy.
W polskim prawie nie ma jasno sprecyzowanych norm odpowiadających za pomiary natężenia światła LED. Wydany jedynie raport przez Międzynarodową Komisję Oświetleniową w 2007 roku, zawiera zalecenia dotyczące badania oświetlenia LED z podziałem na emitowane światło białe i kolorowe [8]. Rozkłady widmowe emitowanego promieniowania diod LED różnią się od tego, przy którym przeprowadzono wzorcowanie luksomierza (rys.1). Międzynarodowa Komisja Oświetleniowa (CIE) oznaczyła tą różnicę jako błąd f1.

Rys. 1. Względne rozkłady widmowe mocy promienistej typowych diod LED
2.1. Błąd f1
Wartość błędu f1 wynikającego z niedopasowania źródła światła mierzonego do światła, przy którym wzorcowano luksomierz zależy od stopnia dopasowania czułości widmowej fotoogniwa do krzywej V(λ), a także charakteru rozkładu widmowego mierzonego promieniowania (2).

gdzie: EZ(λ) – względny rozkład widmowy mocy promieniowania rozpatrywanego źródła światła, EA(λ) – względny rozkład widmowy mocy promieniowania, przy którym wykonano wzorcowanie głowicy fotometrycznej, V(λ) – wymagana względna czułość widmowa głowicy fotometrycznej, S(λ) – względna rzeczywista czułość widmowa głowicy fotometrycznej.
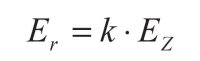
Zatem, aby otrzymać prawidłową wartość pomiaru natężenia oświetlenia źródła światła Er, należy wskazania luksomierza EZ przemnożyć przez współczynniki korekcyjne k (3).

Na podstawie dostępnych informacji dla luksomierzy wyznaczono wartości współczynnika korekcyjnego. Przyjmują one wartości bliskie 1.
2.2. Pomiary natężenia oświetlenia źródeł światła LED za pomocą luksomierzy firmy SONEL S.A.
Firma SONEL S.A. w swojej ofercie posiada luksomierze klasy A i B. Im wyższa klasa miernika tym mniejsze wartości natężenia oświetlenia jesteśmy w stanie zbadać.
Tab. 1. Zestawienie luksomierzy firmy SONEL S.A.
| Nazwa miernika | Klasa dokładności | Rozdzielczość | Błąd podstawowy | Dopasowanie widmowe f1' |
|---|---|---|---|---|
| Sonel LXP-10A | A | 0,001 lx | 2%+5 cyfr | +/-2% |
| Sonel LXP-10B | B | 0,01 lx | 5%+5 cyfr | +/-6% |
| Sonel LXP-2 | B | 0,1 lx | 5%+5 cyfr | +/-6% |
Wybierając miernik do pomiarów natężenia oświetlenia należy zastanowić się w jaki sposób będzie on używany i jakie wielkości będą nim mierzone. Jeżeli ma to być pomiar białego światła LED to należy wziąć pod uwagę zalecenia komisji CIE, która zaleca stosowanie luksomierza o parametrze f1’, będącym miarą niedopasowania czułości luksomierza do krzywej V(λ), nieprzekraczającym 3%. Luksomierz firmy SONEL LXP-10A, odpowiednio klasa A spełnia ten warunek. Zatem doskonale nadaję się do pomiaru natężenia oświetlenia emitowanego przez białe diody LED. Natomiast dla luksomierzy LXP-10B, LXP-2, klasy B o zadeklarowanej wartości błędu korekcji widmowej f1’<6%, należy wziąć pod uwagę również wartość błędu f1, wynikającego z różnic w rozkładzie widmowym źródła mierzonego i kalibracyjnego. Ponieważ dla luksomierzy klasy A i B współczynniki korekcyjne k (3) przyjmują wartości bliskie 1 (k~1). Zatem nie mają znacznego udziału na mierzoną wartość natężenia oświetlenia.
3. Podsumowanie
W polskim prawodawstwie i normach obowiązujących w naszym kraju nie istnieją jasno sprecyzowane wymagania dotyczące pomiarów źródeł oświetlenia typu LED. Należy jednak pamiętać, że im większa będzie różnica pomiędzy krzywą czułości głowicy fotometrycznej luksomierza, a tą wymaganą, to tym w większym stopniu uzyskiwane wyniki będą uzależnione od charakterystyki widmowej mierzonego promieniowania.
Zatem nie istnieją kryteria wykluczające luksomierze firmy SONEL S.A. klasy A i B do pomiarów natężenia oświetlenia źródeł światła LED. Należy jednak pamiętać, iż używany do pomiarów miernik powinien posiadać aktualne świadectwo wzorcowania, które potwierdzi sprawność urządzenia i spełnienie przez niego deklarowanych poziomów niepewności widmowej i podstawowej. Czym mniejsza niepewność widmowa i całkowita tym wynik pomiaru jest w większym stopniu zgodny z rzeczywistym.
4. Literatura
[1] Rozporządzenie Ministra Pracy i Polityki Socjalnej z dnia 26 września 1997 r. w sprawie ogólnych przepisów bezpieczeństwa i higieny pracy (Dz.U.1997 nr 129 poz. 844)
[2] PN-EN 12464-1:2012 Światło i oświetlenie. Oświetlenie miejsc pracy. Część 1: Oświetlenie miejsc pracy we wnętrzach
[3] ISO/IEC 17025:2005 Ogólne wymagania dotyczące kompetencji laboratoriów badawczych
i wzorcujących
[4] CIE 69-1987 Methods of characterizing illuminance
[5] PN 83/E-04040 Pomiary fotometryczne i radiometryczne - Pomiar natężenia oświetlenia
[6] PN-84/E-02033 Oświetlenie wnętrz światłem elektrycznym
[7] PN 90/E – 01005 Technika świetlna. Terminologia
[8] CIE-127:2007: Measurement of LEDs, Central Bureau of the CIE, Vienna, Austria, 2007
Autor:
Dorota Kołakowska
Sonel S.A.